80 лет Победы
1941
БАТЫРЛАРҒА ТАҒЗЫМ
Добро пожаловать на сайт, посвященный ветеранам Великой Отечественной войны.
Загрузка...

Путь Героя

Видяшев Николай Тимофеевич

ID: 654653

Видяшев Николай Тимофеевич

ID: 654653

Дата рождения: 15.12.1903

Место рождения: г. Уральск

Место призыва: 1919г.

Последнее место службы: 257 стрелковый полк 185 стрелковой дивизии

Воинское звание: капитан

Причина выбытия: Убит

Дата выбытия: 11.03.1940г.

Награды

ord-9

Захоронение

Идентификатор: 260988123

Страна: Россия

Регион: Ленинградская обл

Место: г. Выборг.

Тип могилы / описание: братская могила

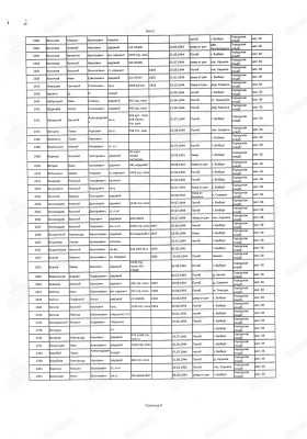
Источник информации / архив: "Архив: ЦАМО. Фонд ист. информации: 33. Опись ист. информации: 793756. Дело ист. информации: 8 ВК Ленинградской обл. Фонд ист. информации: Отдел по г. Выборг и Выборгскому р-ну. Дело ист. информации: 10001029 ВК Ленинградской обл.. Фонд ист. информации: О

Дополнительная информация

Видяшев Николай Тимофеевич. Дата рождения 15.12.1903г.р. Место рождения в городе Уральске. Воинское звание капитан. Воинская часть 257 стрелковый полк 185 стрелковой дивизии. Награды - Герой Советского Союза (Орден Ленина и медаль «Золотая звезда»). Дата выбытия: 01.03.1940г. Причина выбытия: погиб. Место захоронения: Ленинградская обл., Выборгский р-н, г. Выборг, кладбище, могила № 36 (Страна захоронения: Россия. Регион захоронения: Ленинградская обл. Место захоронения: Выборгский муниципальный р-н, г. Выборг, ул. Последняя, участок 1, могила 36. Откуда перезахоронен: г. Выборг. Захоронение: 90000174, Страна захоронения: Россия. Регион захоронения: Ленинградская обл. Место захоронения: г. Выборг. Откуда перезахоронен: г. Выборг. Захоронение: 260988123). Внесен в Книга памяти. Мурманская область. Том 6.

Документы

"Пока жива память — жив герой."

Неизвестный автор